Whatsapp
Email
X
Facebook
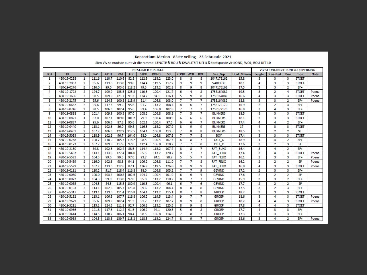
Huidige Mikron: 18.5 | Projeknr: 610 | Lengte (uit 3): 3 | Bou (uit 3): 3 | Kwaliteit ( uit 3): 3 | BSTAT: 2 | BWI: 101.413045480146 | GDTI: 109.940549201291 | FWI: 100.347639201836 | FDI: 96.964022054249 | STPLI: 108.237002953229 | KONDI: 106.792218749263 | SEL: 108.770035542915 | KOND (uit 10): 7 | WOL (uit 10): 5 | BOU (uit 10): 7 | Sire_Grp: BLIKNERS
Unit 209, Mason's Press 7 Ravenscraig Road Woodstock, 7925 South Africa
Share
Whatsapp
Email
X
Facebook