Whatsapp
Email
X
Facebook
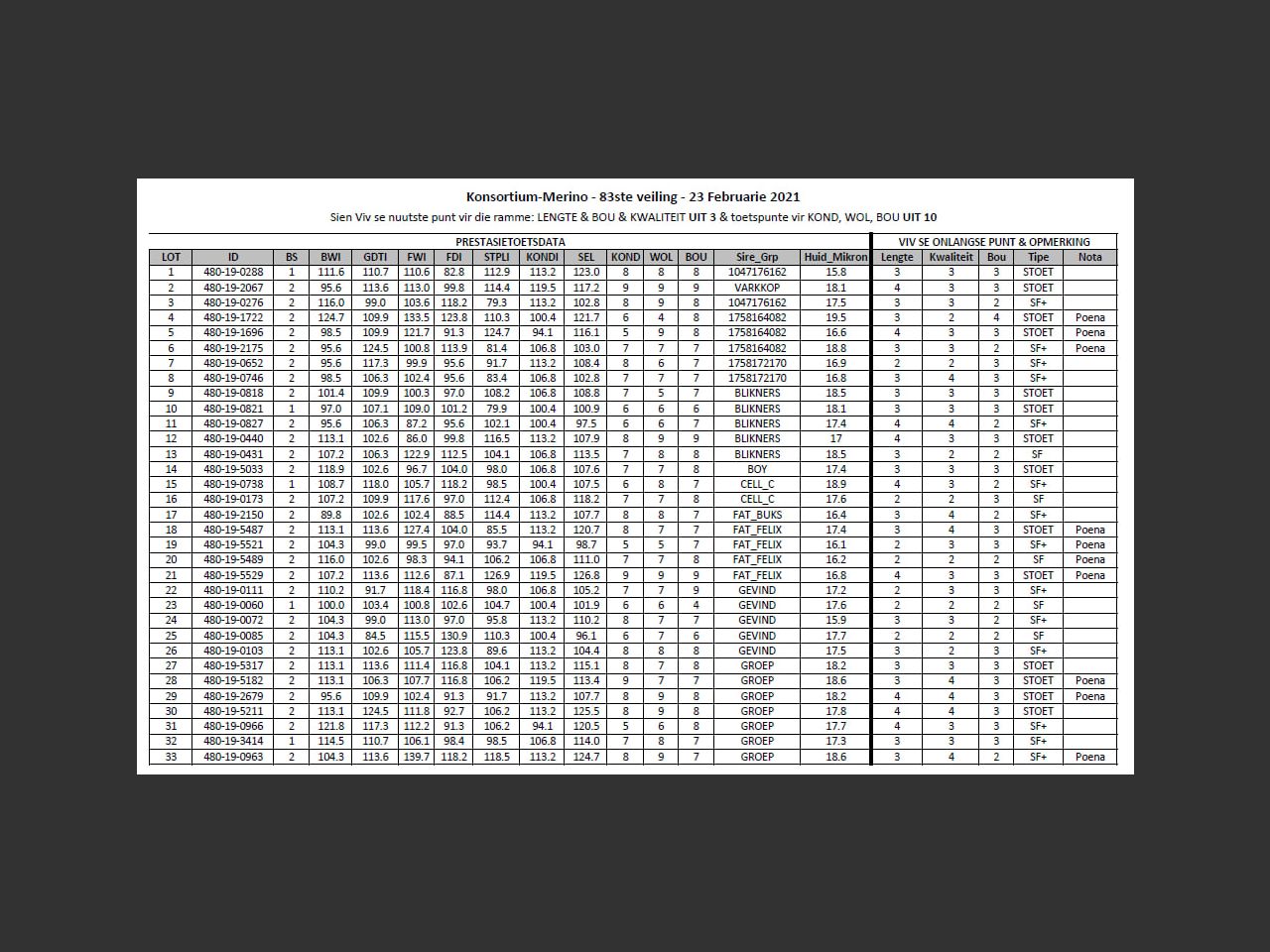
Huidige Mikron: 18.1 | Projeknr: 663 | Lengte (uit 3): 3 | Bou (uit 3): 3 | Kwaliteit ( uit 3): 3 | BSTAT: 1 | BWI: 97.0394794306062 | GDTI: 107.085088293338 | FWI: 108.952356418492 | FDI: 101.205461831401 | STPLI: 79.8965932362377 | KONDI: 100.427856299166 | SEL: 100.933737499473 | KOND (uit 10): 6 | WOL (uit 10): 6 | BOU (uit 10): 7 | Sire_Grp: BLIKNERS
Unit 209, Mason's Press 7 Ravenscraig Road Woodstock, 7925 South Africa
Share
Whatsapp
Email
X
Facebook