Whatsapp
Email
X
Facebook
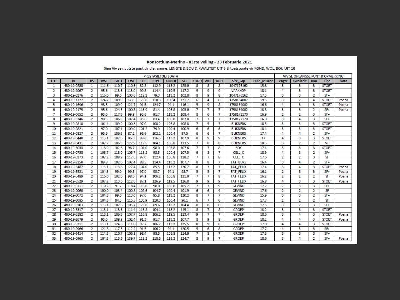
Huidige Mikron: 16.8 | Projeknr: 547 | Lengte (uit 3): 3 | Bou (uit 3): 3 | Kwaliteit ( uit 3): 4 | BSTAT: 2 | BWI: 98.4973347804528 | GDTI: 106.279701883402 | FWI: 102.396381396278 | FDI: 95.5502087951984 | STPLI: 83.4391444508615 | KONDI: 106.792218749263 | SEL: 102.785555785427 | KOND (uit 10): 7 | WOL (uit 10): 7 | BOU (uit 10): 8 | Sire_Grp: 1758172170
Unit 209, Mason's Press 7 Ravenscraig Road Woodstock, 7925 South Africa
Share
Whatsapp
Email
X
Facebook