Whatsapp
Email
X
Facebook
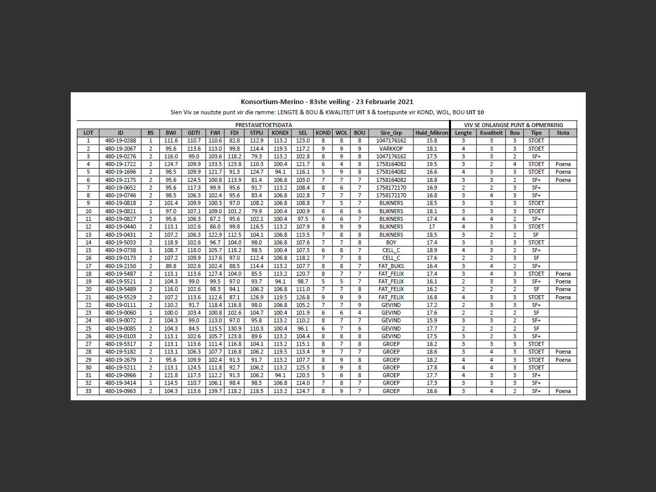
Huidige Mikron: 16.6 | Projeknr: 331 | Lengte (uit 3): 4 | Bou (uit 3): 3 | Kwaliteit ( uit 3): 3 | BSTAT: 2 | BWI: 98.4973347804528 | GDTI: 109.940549201291 | FWI: 121.654558024033 | FDI: 91.3087690180465 | STPLI: 124.692724724385 | KONDI: 94.0634938490695 | SEL: 116.05094751097 | KOND (uit 10): 5 | WOL (uit 10): 9 | BOU (uit 10): 8 | Sire_Grp: 1758164082
Unit 209, Mason's Press 7 Ravenscraig Road Woodstock, 7925 South Africa
Share
Whatsapp
Email
X
Facebook