Whatsapp
Email
X
Facebook
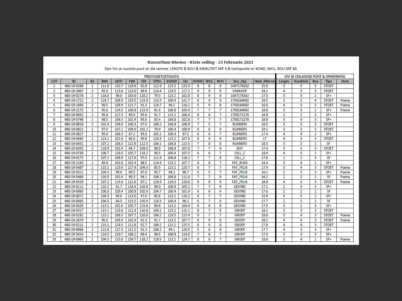
Huidige Mikron: 19.5 | Projeknr: 313 | Lengte (uit 3): 3 | Bou (uit 3): 4 | Kwaliteit ( uit 3): 2 | BSTAT: 2 | BWI: 124.738731077692 | GDTI: 109.940549201291 | FWI: 133.537262751797 | FDI: 123.826473976211 | STPLI: 110.293968174623 | KONDI: 100.427856299166 | SEL: 121.732668347237 | KOND (uit 10): 6 | WOL (uit 10): 4 | BOU (uit 10): 9 | Sire_Grp: 1758164082
Unit 209, Mason's Press 7 Ravenscraig Road Woodstock, 7925 South Africa
Share
Whatsapp
Email
X
Facebook