Whatsapp
Email
X
Facebook
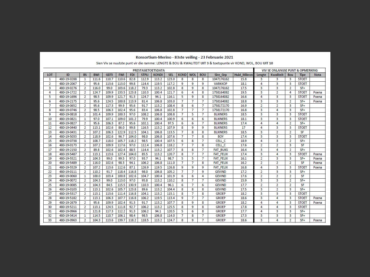
Huidige Mikron: 18.8 | Projeknr: 418 | Lengte (uit 3): 3 | Bou (uit 3): 2 | Kwaliteit ( uit 3): 3 | BSTAT: 2 | BWI: 95.5816240807595 | GDTI: 124.51072152649 | FWI: 100.757387640724 | FDI: 113.929781162857 | STPLI: 81.382179229467 | KONDI: 106.792218749263 | SEL: 103.047664920699 | KOND (uit 10): 7 | WOL (uit 10): 7 | BOU (uit 10): 8 | Sire_Grp: 1758164082
Unit 209, Mason's Press 7 Ravenscraig Road Woodstock, 7925 South Africa
Share
Whatsapp
Email
X
Facebook