Whatsapp
Email
X
Facebook
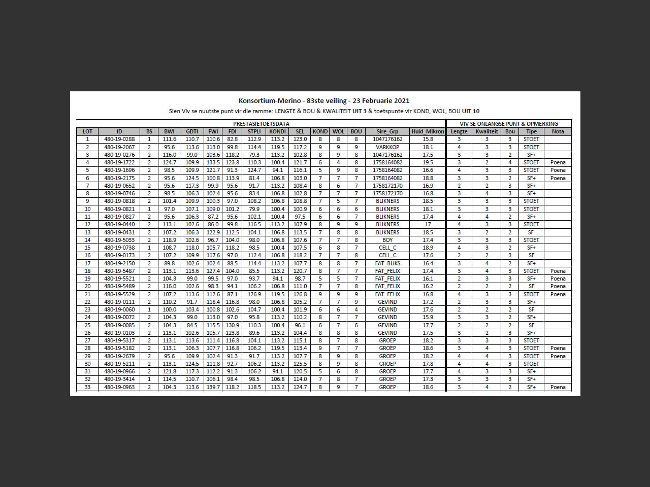
Huidige Mikron: 17.5 | Projeknr: 503 | Lengte (uit 3): 3 | Bou (uit 3): 2 | Kwaliteit ( uit 3): 3 | BSTAT: 2 | BWI: 115.991598978612 | GDTI: 99.0312241939818 | FWI: 103.625626712943 | FDI: 118.171220940009 | STPLI: 79.3252140080725 | KONDI: 113.15658119936 | SEL: 102.831956664282 | KOND (uit 10): 8 | WOL (uit 10): 9 | BOU (uit 10): 7 | Sire_Grp: 1047176162
Unit 209, Mason's Press 7 Ravenscraig Road Woodstock, 7925 South Africa
Share
Whatsapp
Email
X
Facebook