Whatsapp
Email
X
Facebook
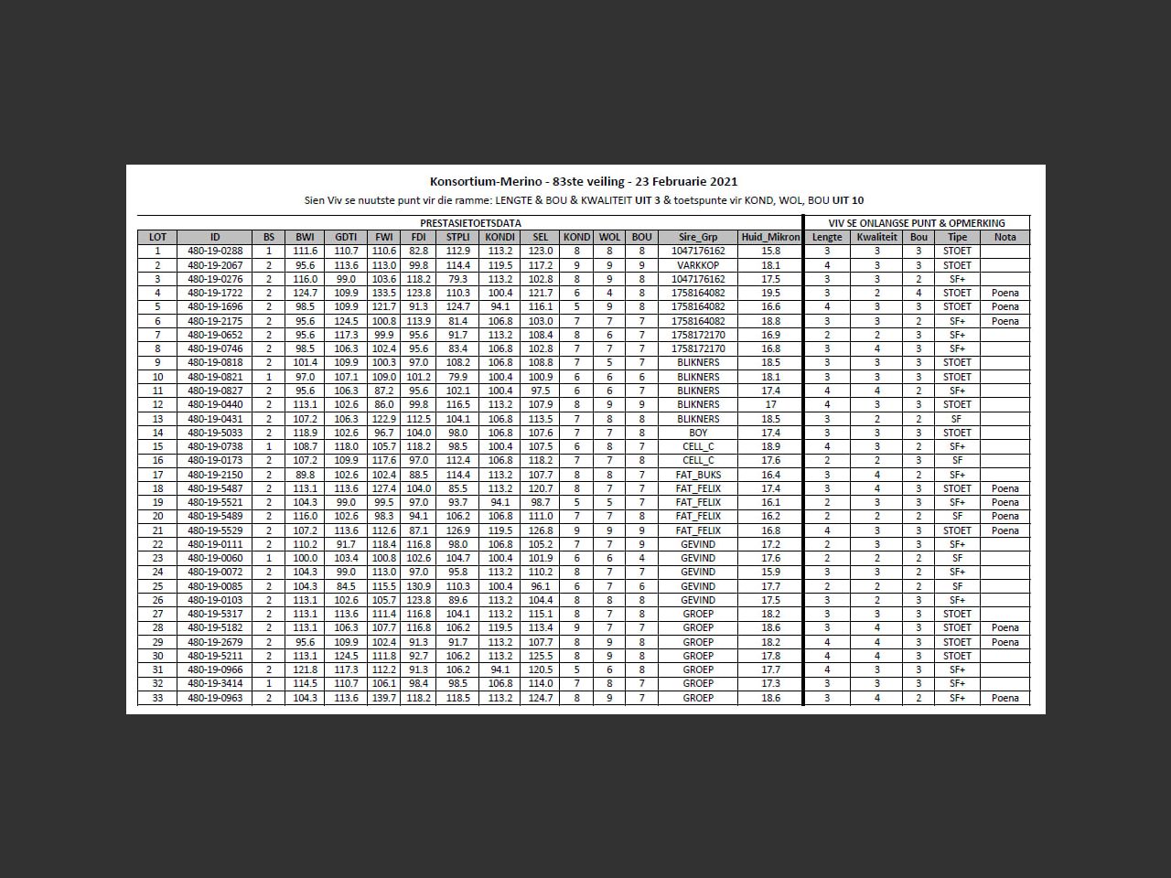
Huidige Mikron: 17.7 | Projeknr: 654 | Lengte (uit 3): 4 | Bou (uit 3): 3 | Kwaliteit ( uit 3): 3 | BSTAT: 2 | BWI: 121.823020377999 | GDTI: 117.262243837069 | FWI: 112.2303439296 | FDI: 91.3087690180465 | STPLI: 106.180037731834 | KONDI: 94.0634938490695 | SEL: 120.524726414685 | KOND (uit 10): 5 | WOL (uit 10): 6 | BOU (uit 10): 8 | Sire_Grp: GROEP
Unit 209, Mason's Press 7 Ravenscraig Road Woodstock, 7925 South Africa
Share
Whatsapp
Email
X
Facebook