Whatsapp
Email
X
Facebook
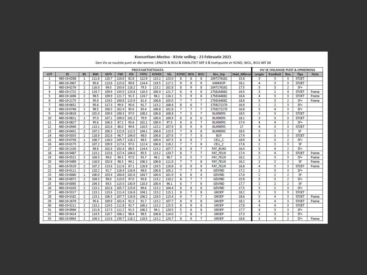
Huidige Mikron: 17.3 | Projeknr: 275 | Lengte (uit 3): 3 | Bou (uit 3): 3 | Kwaliteit ( uit 3): 3 | BSTAT: 1 | BWI: 114.533743628766 | GDTI: 110.745935611227 | FWI: 106.084117346273 | FDI: 98.3778353132997 | STPLI: 98.5235560744213 | KONDI: 106.792218749263 | SEL: 113.961617807376 | KOND (uit 10): 7 | WOL (uit 10): 8 | BOU (uit 10): 9 | Sire_Grp: GROEP
Unit 209, Mason's Press 7 Ravenscraig Road Woodstock, 7925 South Africa
Share
Whatsapp
Email
X
Facebook