Whatsapp
Email
X
Facebook
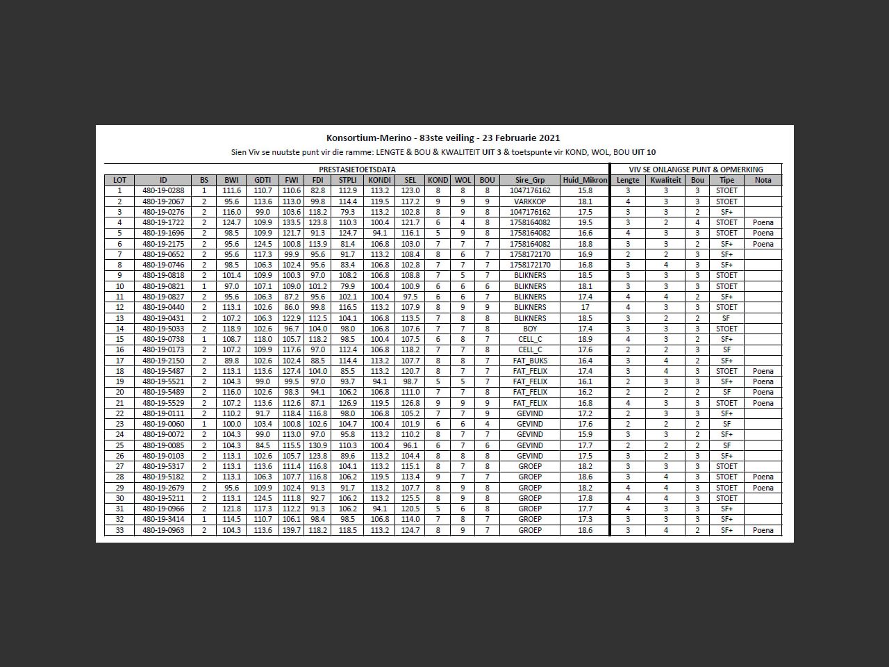
Huidige Mikron: 17.8 | Projeknr: 165 | Lengte (uit 3): 4 | Bou (uit 3): 3 | Kwaliteit ( uit 3): 4 | BSTAT: 2 | BWI: 113.075888278919 | GDTI: 124.51072152649 | FWI: 111.820595490711 | FDI: 92.7225822770971 | STPLI: 106.180037731834 | KONDI: 113.15658119936 | SEL: 125.534948084748 | KOND (uit 10): 8 | WOL (uit 10): 9 | BOU (uit 10): 5 | Sire_Grp: GROEP
Unit 209, Mason's Press 7 Ravenscraig Road Woodstock, 7925 South Africa
Share
Whatsapp
Email
X
Facebook