Whatsapp
Email
X
Facebook
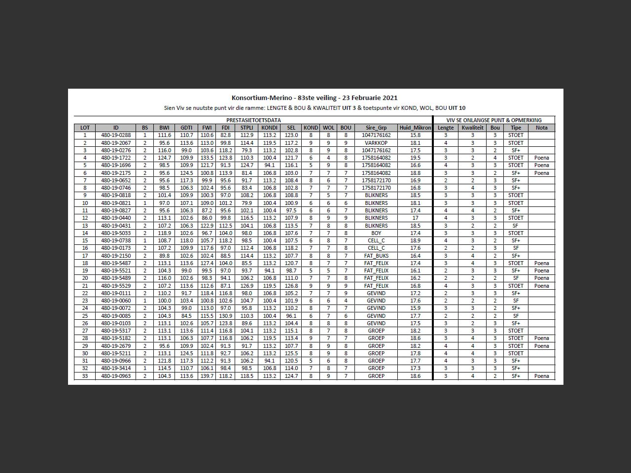
Huidige Mikron: 18.2 | Projeknr: 472 | Lengte (uit 3): 4 | Bou (uit 3): 3 | Kwaliteit ( uit 3): 4 | BSTAT: 2 | BWI: 95.5816240807595 | GDTI: 109.940549201291 | FWI: 102.396381396278 | FDI: 91.3087690180465 | STPLI: 91.6670053364396 | KONDI: 113.15658119936 | SEL: 107.655198531231 | KOND (uit 10): 8 | WOL (uit 10): 9 | BOU (uit 10): 6 | Sire_Grp: GROEP
Unit 209, Mason's Press 7 Ravenscraig Road Woodstock, 7925 South Africa
Share
Whatsapp
Email
X
Facebook