Whatsapp
Email
X
Facebook
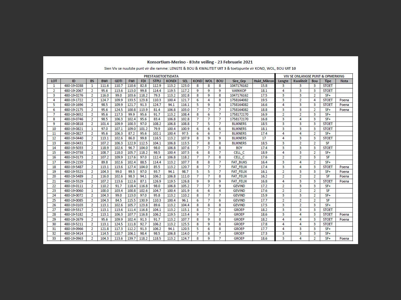
Huidige Mikron: 18.1 | Projeknr: 447 | Lengte (uit 3): 4 | Bou (uit 3): 3 | Kwaliteit ( uit 3): 3 | BSTAT: 2 | BWI: 95.5816240807595 | GDTI: 113.60139651918 | FWI: 113.049840807376 | FDI: 99.7916485723503 | STPLI: 114.407898617412 | KONDI: 119.520943649456 | SEL: 117.218464082083 | KOND (uit 10): 9 | WOL (uit 10): 9 | BOU (uit 10): 6 | Sire_Grp: VARKKOP
Unit 209, Mason's Press 7 Ravenscraig Road Woodstock, 7925 South Africa
Share
Whatsapp
Email
X
Facebook