Whatsapp
Email
X
Facebook
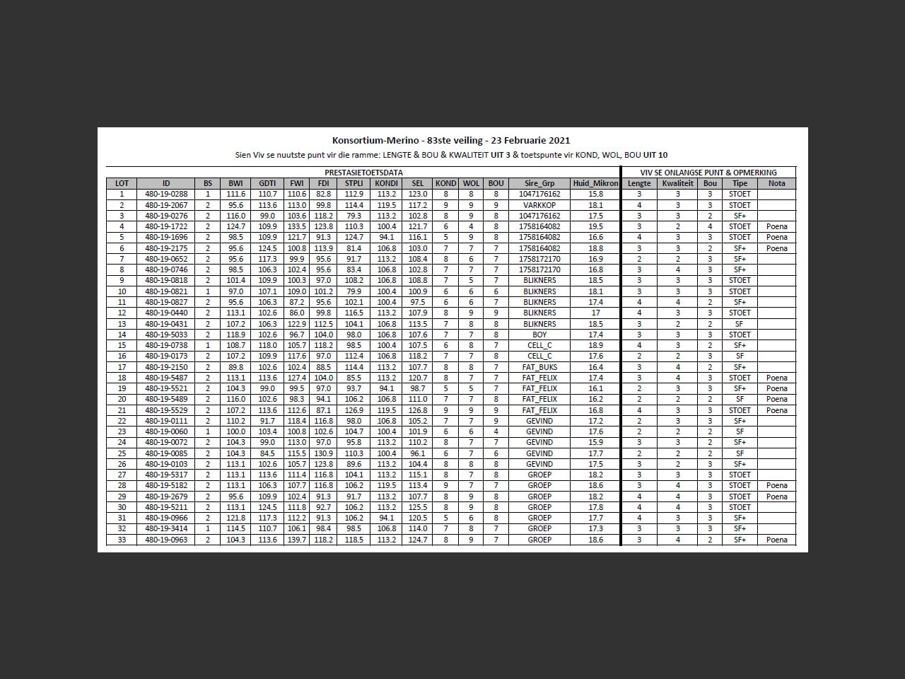
Huidige Mikron: 18.6 | Projeknr: 148 | Lengte (uit 3): 3 | Bou (uit 3): 3 | Kwaliteit ( uit 3): 4 | BSTAT: 2 | BWI: 113.075888278919 | GDTI: 106.279701883402 | FWI: 107.723111101827 | FDI: 116.757407680958 | STPLI: 106.180037731834 | KONDI: 119.520943649456 | SEL: 113.369381802662 | KOND (uit 10): 9 | WOL (uit 10): 7 | BOU (uit 10): 7 | Sire_Grp: GROEP
Unit 209, Mason's Press 7 Ravenscraig Road Woodstock, 7925 South Africa
Share
Whatsapp
Email
X
Facebook