Whatsapp
Email
X
Facebook
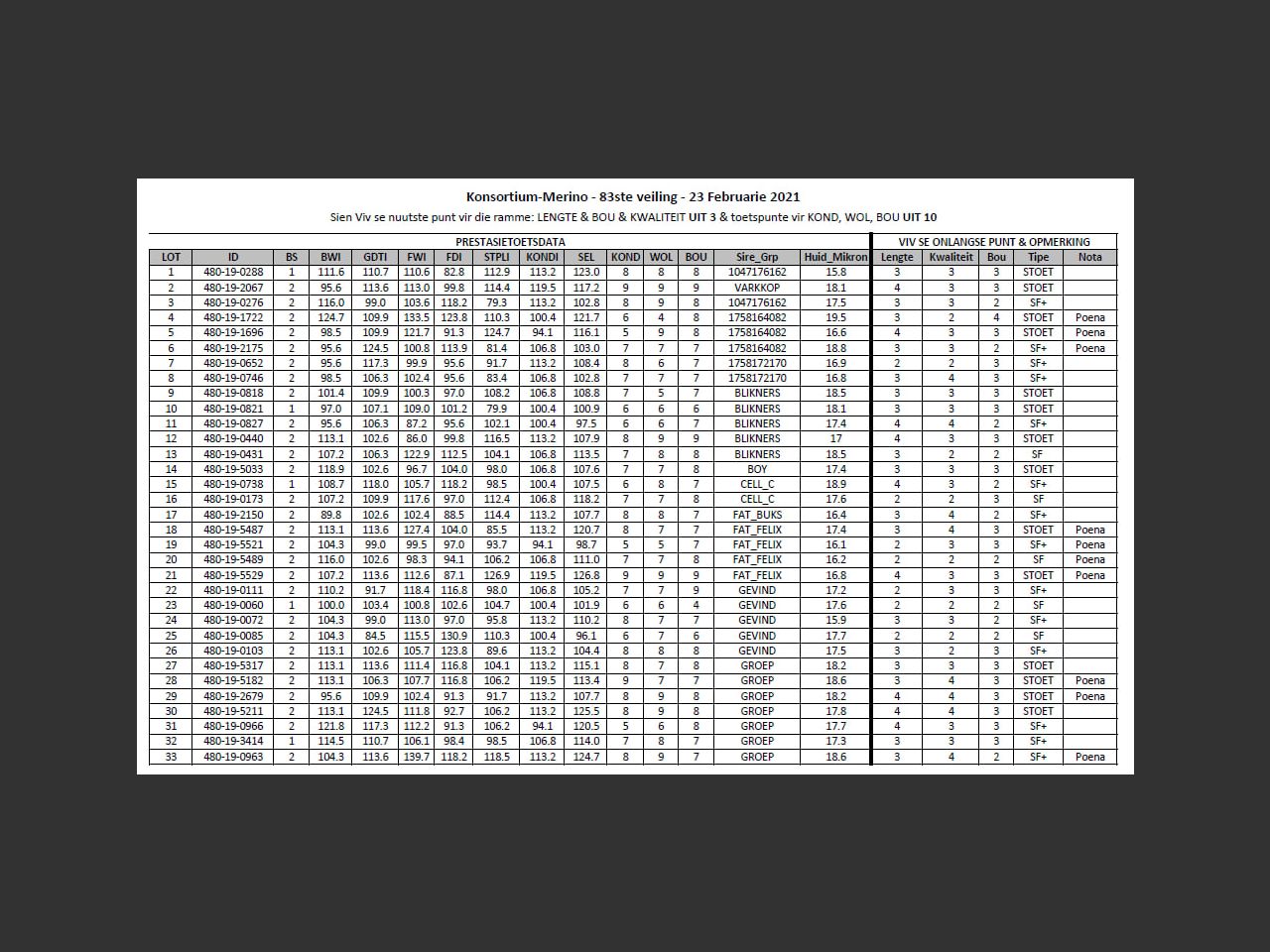
Huidige Mikron: 17.7 | Projeknr: 556 | Lengte (uit 3): 2 | Bou (uit 3): 2 | Kwaliteit ( uit 3): 2 | BSTAT: 2 | BWI: 104.328756179839 | GDTI: 84.4610518687833 | FWI: 115.508331440707 | FDI: 130.895540271464 | STPLI: 110.293968174623 | KONDI: 100.427856299166 | SEL: 96.1190739741752 | KOND (uit 10): 6 | WOL (uit 10): 7 | BOU (uit 10): 7 | Sire_Grp: GEVIND
Unit 209, Mason's Press 7 Ravenscraig Road Woodstock, 7925 South Africa
Share
Whatsapp
Email
X
Facebook