Whatsapp
Email
X
Facebook
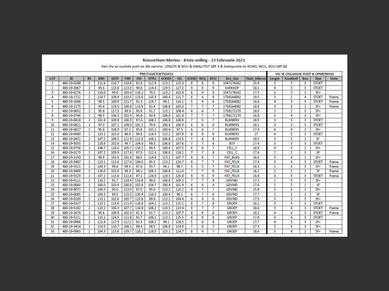
Huidige Mikron: 15.9 | Projeknr: 513 | Lengte (uit 3): 3 | Bou (uit 3): 2 | Kwaliteit ( uit 3): 3 | BSTAT: 2 | BWI: 104.328756179839 | GDTI: 99.0312241939818 | FWI: 113.049840807376 | FDI: 96.964022054249 | STPLI: 95.7809357792286 | KONDI: 113.15658119936 | SEL: 110.22440414697 | KOND (uit 10): 8 | WOL (uit 10): 7 | BOU (uit 10): 7 | Sire_Grp: GEVIND
Unit 209, Mason's Press 7 Ravenscraig Road Woodstock, 7925 South Africa
Share
Whatsapp
Email
X
Facebook