Whatsapp
Email
X
Facebook
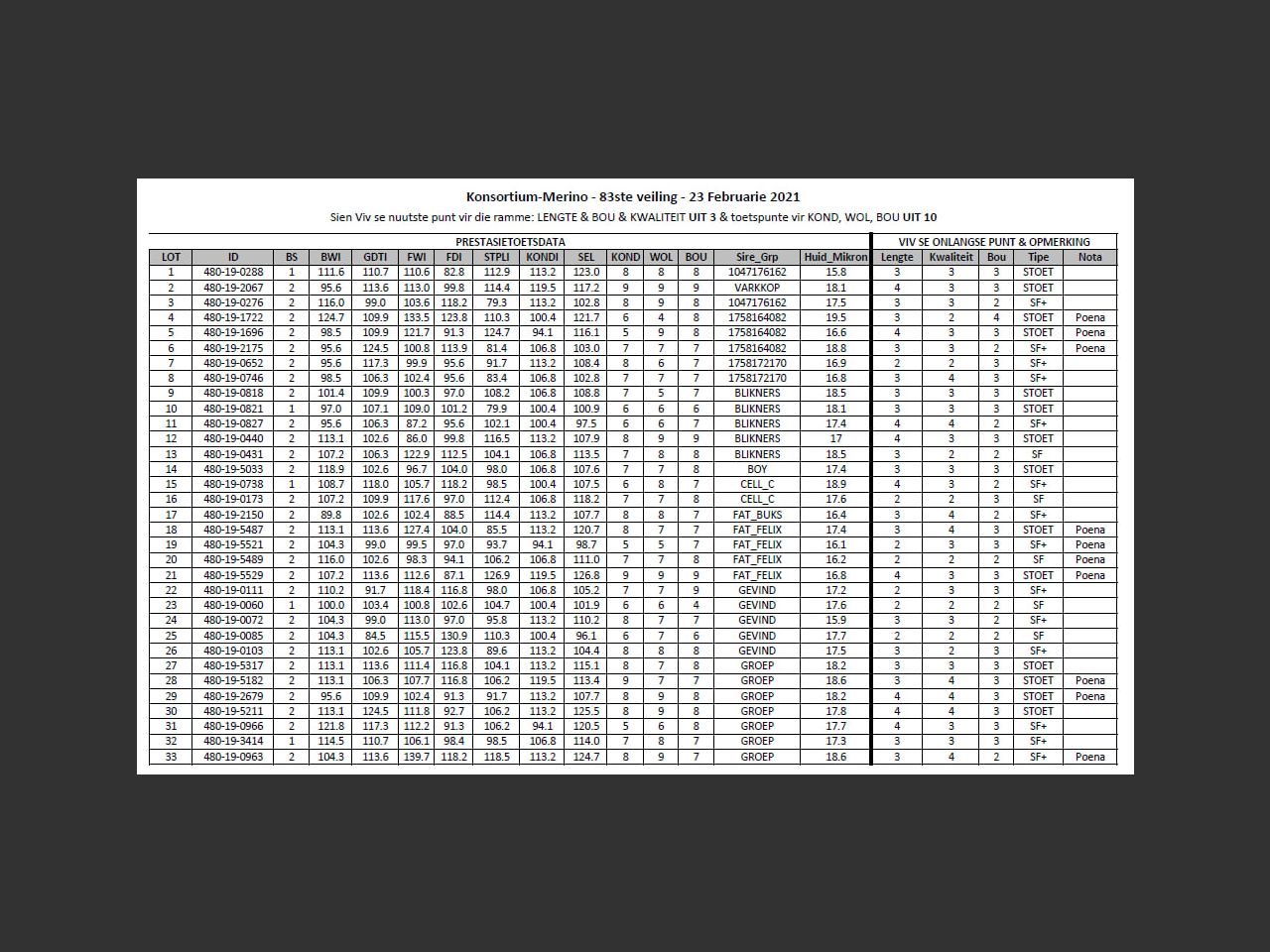
Huidige Mikron: 17.5 | Projeknr: 512 | Lengte (uit 3): 3 | Bou (uit 3): 3 | Kwaliteit ( uit 3): 2 | BSTAT: 2 | BWI: 113.075888278919 | GDTI: 102.618854565513 | FWI: 105.674368907385 | FDI: 123.826473976211 | STPLI: 89.6100401150451 | KONDI: 113.15658119936 | SEL: 104.397320389498 | KOND (uit 10): 8 | WOL (uit 10): 8 | BOU (uit 10): 7 | Sire_Grp: GEVIND
Unit 209, Mason's Press 7 Ravenscraig Road Woodstock, 7925 South Africa
Share
Whatsapp
Email
X
Facebook