Whatsapp
Email
X
Facebook
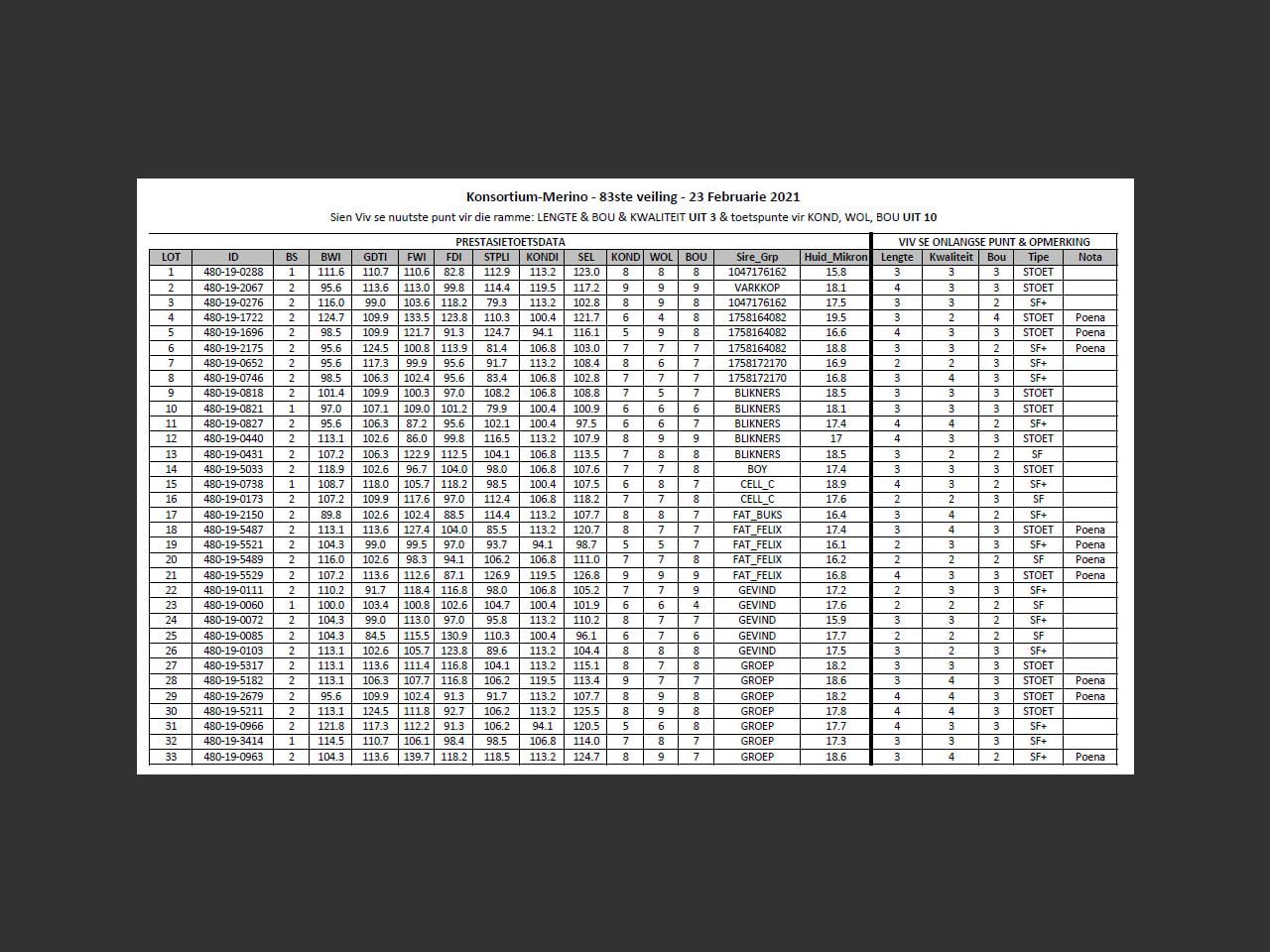
Huidige Mikron: 17.6 | Projeknr: 526 | Lengte (uit 3): 2 | Bou (uit 3): 2 | Kwaliteit ( uit 3): 2 | BSTAT: 1 | BWI: 99.9551901302994 | GDTI: 103.424240975449 | FWI: 100.757387640724 | FDI: 102.619275090452 | STPLI: 104.694451738605 | KONDI: 100.427856299166 | SEL: 101.883254875857 | KOND (uit 10): 6 | WOL (uit 10): 6 | BOU (uit 10): 8 | Sire_Grp: GEVIND
Unit 209, Mason's Press 7 Ravenscraig Road Woodstock, 7925 South Africa
Share
Whatsapp
Email
X
Facebook