Whatsapp
Email
X
Facebook
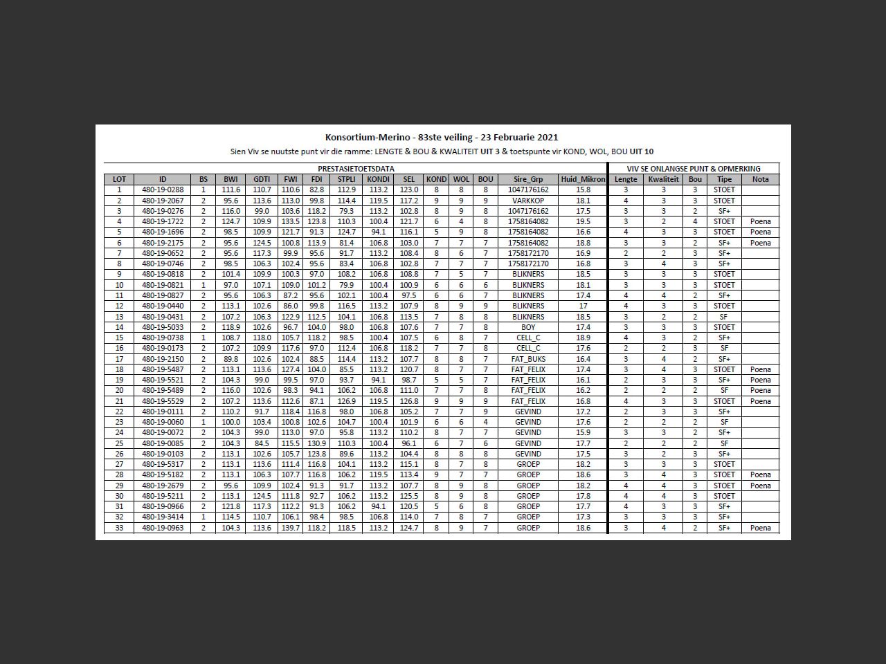
Huidige Mikron: 16.2 | Projeknr: 206 | Lengte (uit 3): 2 | Bou (uit 3): 2 | Kwaliteit ( uit 3): 2 | BSTAT: 2 | BWI: 115.991598978612 | GDTI: 102.618854565513 | FWI: 98.2988970073937 | FDI: 94.1363955361477 | STPLI: 106.180037731834 | KONDI: 106.792218749263 | SEL: 111.019703127008 | KOND (uit 10): 7 | WOL (uit 10): 7 | BOU (uit 10): 7 | Sire_Grp: FAT_FELIX
Unit 209, Mason's Press 7 Ravenscraig Road Woodstock, 7925 South Africa
Share
Whatsapp
Email
X
Facebook