Whatsapp
Email
X
Facebook
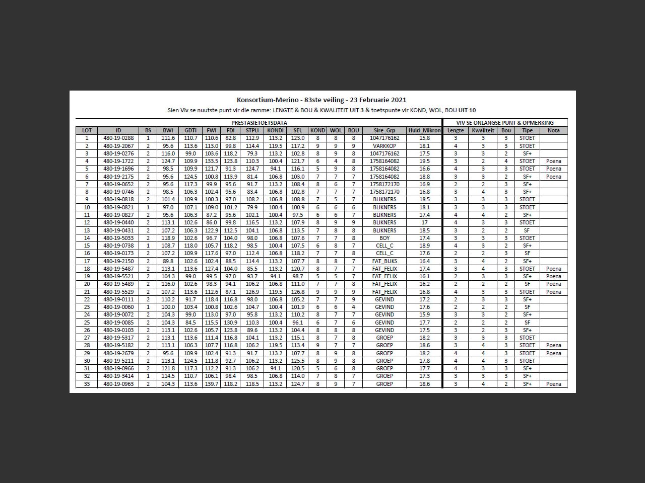
Huidige Mikron: 16.8 | Projeknr: 157 | Lengte (uit 3): 4 | Bou (uit 3): 3 | Kwaliteit ( uit 3): 3 | BSTAT: 2 | BWI: 107.244466879533 | GDTI: 113.60139651918 | FWI: 112.640092368488 | FDI: 87.0673292408946 | STPLI: 126.863965791412 | KONDI: 119.520943649456 | SEL: 126.845786995236 | KOND (uit 10): 9 | WOL (uit 10): 9 | BOU (uit 10): 8 | Sire_Grp: FAT_FELIX
Unit 209, Mason's Press 7 Ravenscraig Road Woodstock, 7925 South Africa
Share
Whatsapp
Email
X
Facebook