Whatsapp
Email
X
Facebook
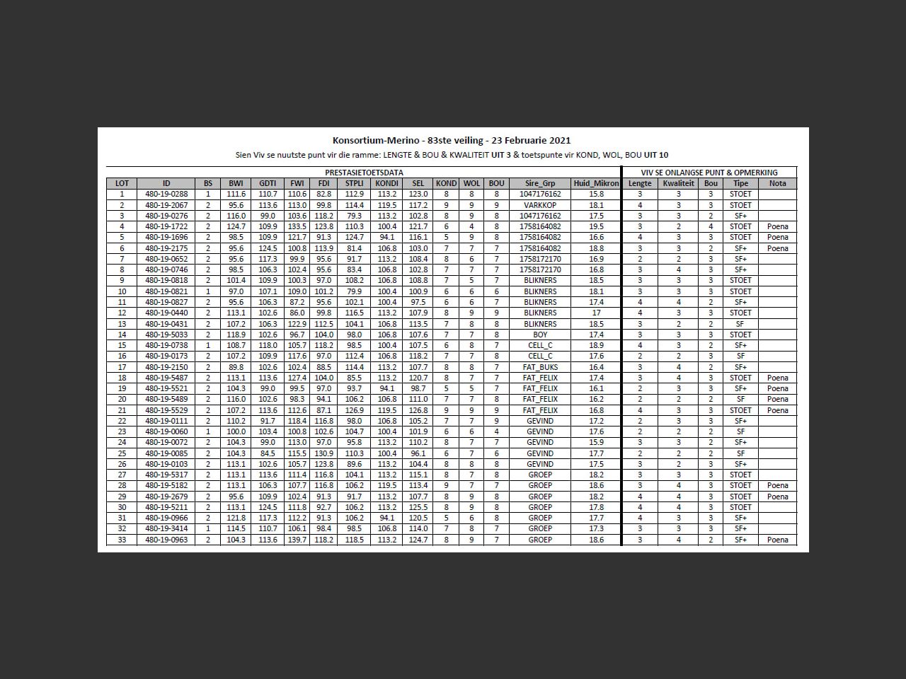
Huidige Mikron: 16.1 | Projeknr: 140 | Lengte (uit 3): 2 | Bou (uit 3): 3 | Kwaliteit ( uit 3): 3 | BSTAT: 2 | BWI: 104.328756179839 | GDTI: 99.0312241939818 | FWI: 99.5281423240589 | FDI: 96.964022054249 | STPLI: 93.7239705578341 | KONDI: 94.0634938490695 | SEL: 98.7176064763332 | KOND (uit 10): 5 | WOL (uit 10): 5 | BOU (uit 10): 8 | Sire_Grp: FAT_FELIX
Unit 209, Mason's Press 7 Ravenscraig Road Woodstock, 7925 South Africa
Share
Whatsapp
Email
X
Facebook