Whatsapp
Email
X
Facebook
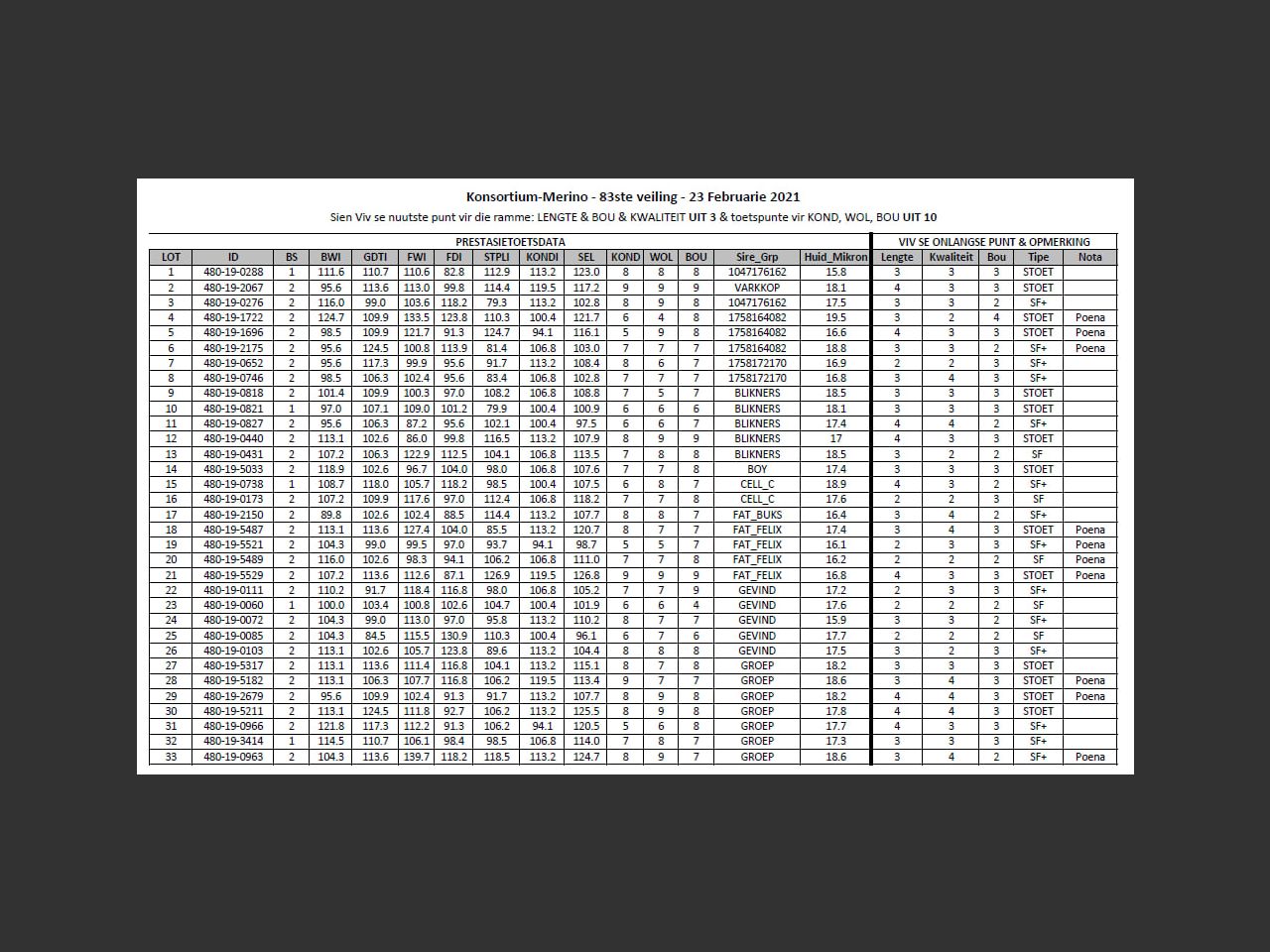
Huidige Mikron: 15.8 | Projeknr: 528 | Lengte (uit 3): 3 | Bou (uit 3): 3 | Kwaliteit ( uit 3): 3 | BSTAT: 1 | BWI: 111.618032929073 | GDTI: 110.745935611227 | FWI: 110.591350174046 | FDI: 82.8258894637427 | STPLI: 112.922312624183 | KONDI: 113.15658119936 | SEL: 123.04964097152 | KOND (uit 10): 8 | WOL (uit 10): 8 | BOU (uit 10): 7 | Sire_Grp: 1047176162
Unit 209, Mason's Press 7 Ravenscraig Road Woodstock, 7925 South Africa
Share
Whatsapp
Email
X
Facebook