Whatsapp
Email
X
Facebook
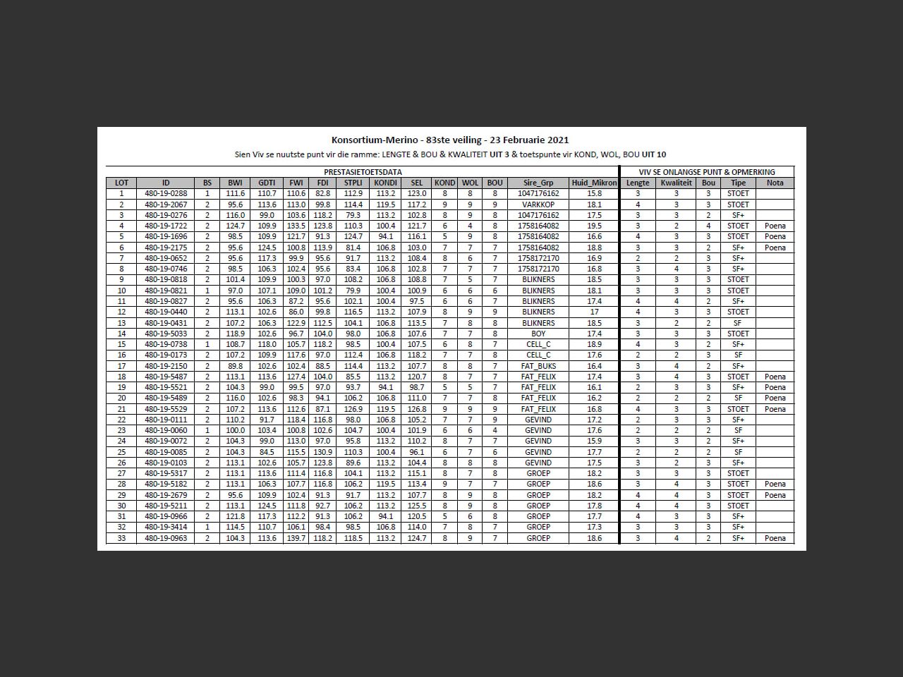
Huidige Mikron: 17.4 | Projeknr: 199 | Lengte (uit 3): 3 | Bou (uit 3): 3 | Kwaliteit ( uit 3): 4 | BSTAT: 2 | BWI: 113.075888278919 | GDTI: 113.60139651918 | FWI: 127.391036168471 | FDI: 104.033088349502 | STPLI: 85.496109672256 | KONDI: 113.15658119936 | SEL: 120.662700995143 | KOND (uit 10): 8 | WOL (uit 10): 7 | BOU (uit 10): 8 | Sire_Grp: FAT_FELIX
Unit 209, Mason's Press 7 Ravenscraig Road Woodstock, 7925 South Africa
Share
Whatsapp
Email
X
Facebook