Whatsapp
Email
X
Facebook
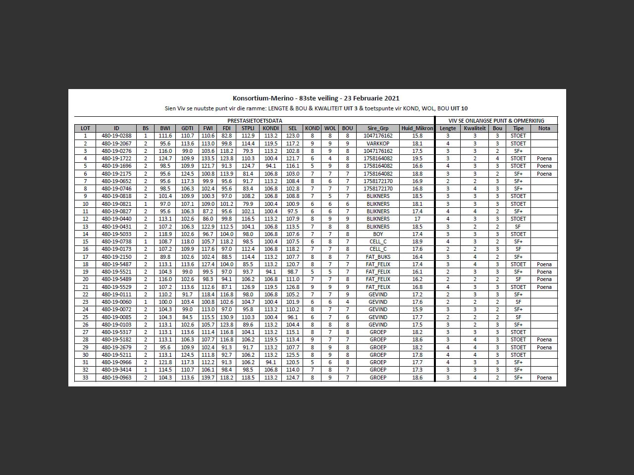
Huidige Mikron: 16.4 | Projeknr: 358 | Lengte (uit 3): 3 | Bou (uit 3): 2 | Kwaliteit ( uit 3): 4 | BSTAT: 2 | BWI: 89.750202681373 | GDTI: 102.618854565513 | FWI: 102.396381396278 | FDI: 88.4811424999452 | STPLI: 114.407898617412 | KONDI: 113.15658119936 | SEL: 107.67586780903 | KOND (uit 10): 8 | WOL (uit 10): 8 | BOU (uit 10): 6 | Sire_Grp: FAT_BUKS
Unit 209, Mason's Press 7 Ravenscraig Road Woodstock, 7925 South Africa
Share
Whatsapp
Email
X
Facebook