Whatsapp
Email
X
Facebook
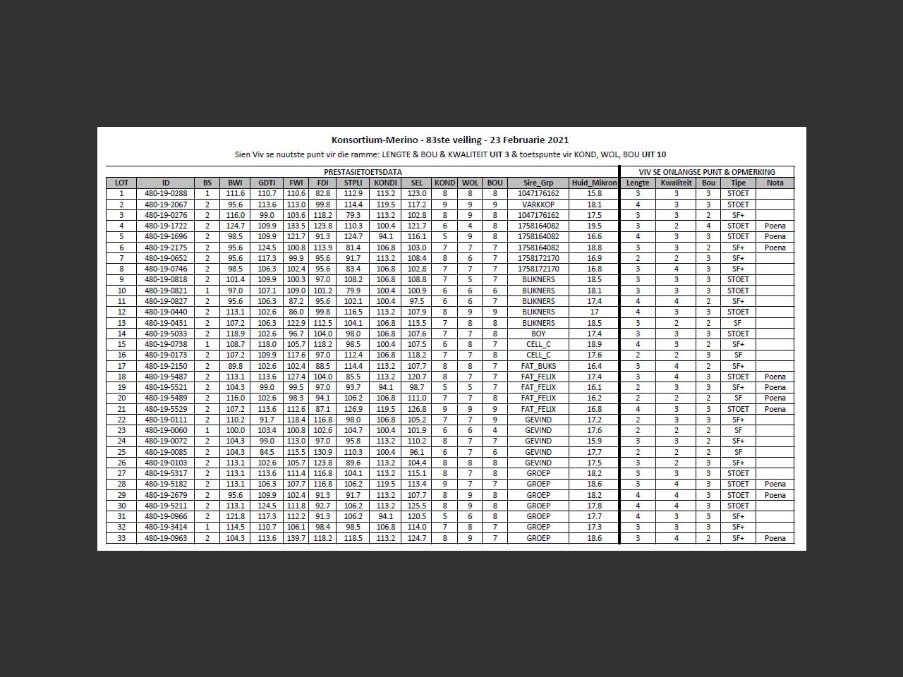
Huidige Mikron: 17.6 | Projeknr: 595 | Lengte (uit 3): 2 | Bou (uit 3): 3 | Kwaliteit ( uit 3): 2 | BSTAT: 2 | BWI: 107.244466879533 | GDTI: 109.940549201291 | FWI: 117.557073635149 | FDI: 96.964022054249 | STPLI: 112.350933396018 | KONDI: 106.792218749263 | SEL: 118.152818735604 | KOND (uit 10): 7 | WOL (uit 10): 7 | BOU (uit 10): 7 | Sire_Grp: CELL_C
Unit 209, Mason's Press 7 Ravenscraig Road Woodstock, 7925 South Africa
Share
Whatsapp
Email
X
Facebook