Whatsapp
Email
X
Facebook
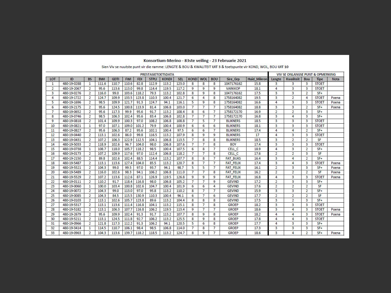
Huidige Mikron: 18.9 | Projeknr: 544 | Lengte (uit 3): 4 | Bou (uit 3): 2 | Kwaliteit ( uit 3): 3 | BSTAT: 1 | BWI: 108.702322229379 | GDTI: 117.994413300647 | FWI: 105.674368907385 | FDI: 118.171220940009 | STPLI: 98.5235560744213 | KONDI: 100.427856299166 | SEL: 107.505963890654 | KOND (uit 10): 6 | WOL (uit 10): 8 | BOU (uit 10): 4 | Sire_Grp: CELL_C
Unit 209, Mason's Press 7 Ravenscraig Road Woodstock, 7925 South Africa
Share
Whatsapp
Email
X
Facebook