Whatsapp
Email
X
Facebook
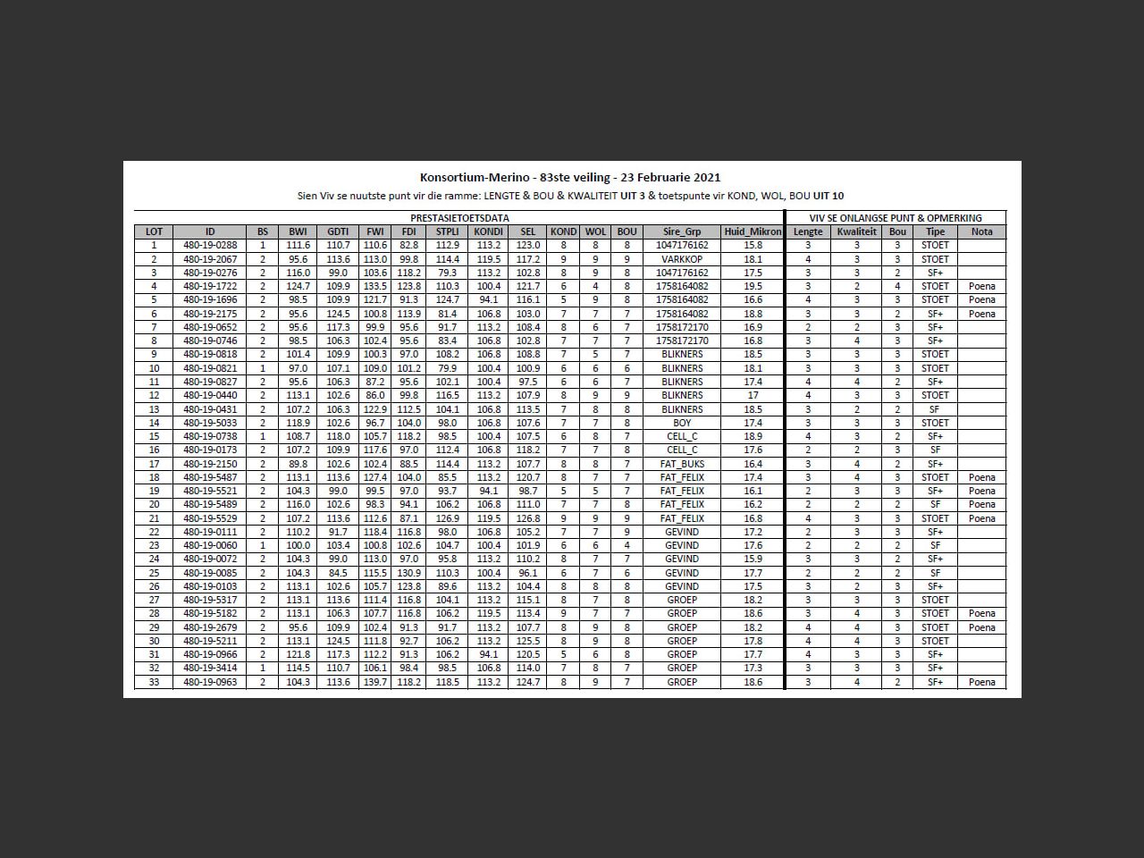
Huidige Mikron: 17.4 | Projeknr: 159 | Lengte (uit 3): 3 | Bou (uit 3): 3 | Kwaliteit ( uit 3): 3 | BSTAT: 2 | BWI: 118.907309678306 | GDTI: 102.618854565513 | FWI: 96.65990325184 | FDI: 104.033088349502 | STPLI: 97.9521768462561 | KONDI: 106.792218749263 | SEL: 107.55410350835 | KOND (uit 10): 7 | WOL (uit 10): 7 | BOU (uit 10): 9 | Sire_Grp: BOY
Unit 209, Mason's Press 7 Ravenscraig Road Woodstock, 7925 South Africa
Share
Whatsapp
Email
X
Facebook