Whatsapp
Email
X
Facebook
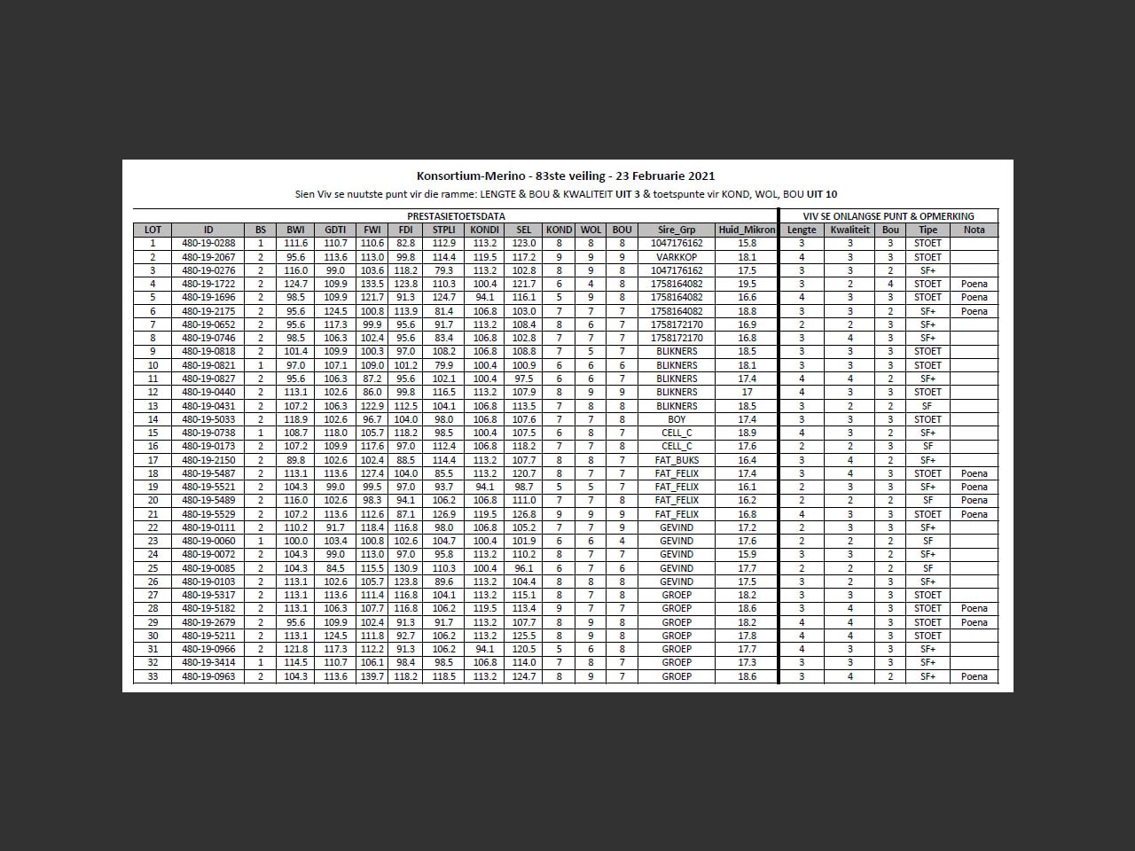
Huidige Mikron: 18.5 | Projeknr: 475 | Lengte (uit 3): 3 | Bou (uit 3): 2 | Kwaliteit ( uit 3): 2 | BSTAT: 2 | BWI: 107.244466879533 | GDTI: 106.279701883402 | FWI: 122.883803340698 | FDI: 112.515967903806 | STPLI: 104.12307251044 | KONDI: 106.792218749263 | SEL: 113.458472864795 | KOND (uit 10): 7 | WOL (uit 10): 8 | BOU (uit 10): 9 | Sire_Grp: BLIKNERS
Unit 209, Mason's Press 7 Ravenscraig Road Woodstock, 7925 South Africa
Share
Whatsapp
Email
X
Facebook