Whatsapp
Email
X
Facebook
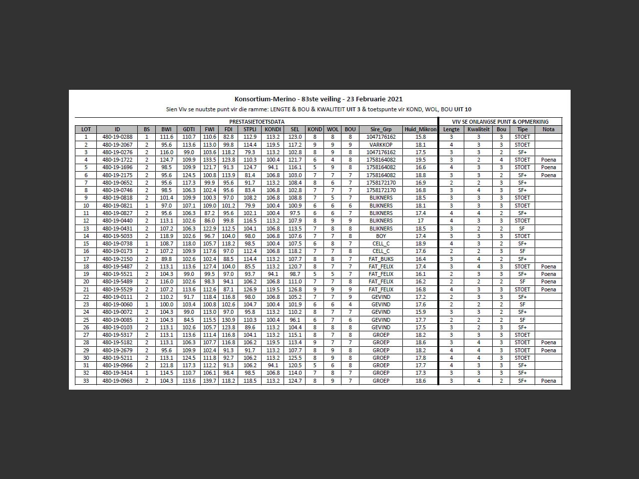
Huidige Mikron: 17 | Projeknr: 674 | Lengte (uit 3): 4 | Bou (uit 3): 3 | Kwaliteit ( uit 3): 3 | BSTAT: 2 | BWI: 113.075888278919 | GDTI: 102.618854565513 | FWI: 86.0064438407413 | FDI: 99.7916485723503 | STPLI: 116.464863838807 | KONDI: 113.15658119936 | SEL: 107.904813278778 | KOND (uit 10): 8 | WOL (uit 10): 9 | BOU (uit 10): 8 | Sire_Grp: BLIKNERS
Unit 209, Mason's Press 7 Ravenscraig Road Woodstock, 7925 South Africa
Share
Whatsapp
Email
X
Facebook