Whatsapp
Email
X
Facebook
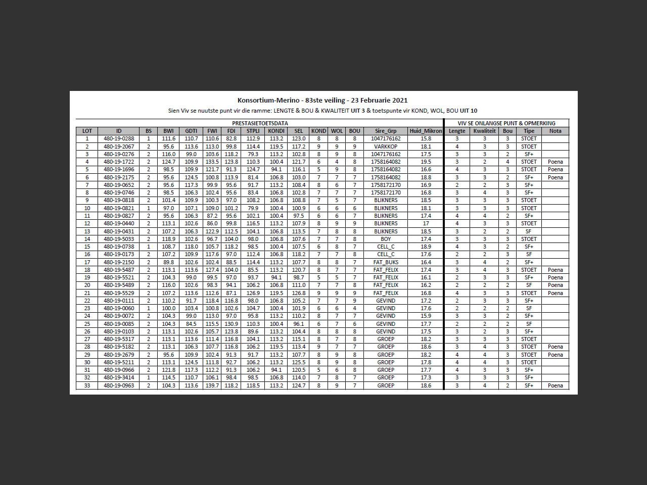
Huidige Mikron: 17.4 | Projeknr: 493 | Lengte (uit 3): 4 | Bou (uit 3): 2 | Kwaliteit ( uit 3): 4 | BSTAT: 2 | BWI: 95.5816240807595 | GDTI: 106.279701883402 | FWI: 87.2356891574066 | FDI: 95.5502087951984 | STPLI: 102.066107289045 | KONDI: 100.427856299166 | SEL: 97.4871392201099 | KOND (uit 10): 6 | WOL (uit 10): 6 | BOU (uit 10): 7 | Sire_Grp: BLIKNERS
Unit 209, Mason's Press 7 Ravenscraig Road Woodstock, 7925 South Africa
Share
Whatsapp
Email
X
Facebook